Borang Permohonan Pekerja Asing / Perkeso Borang Pendaftaran Majkan Borang 1 Youtube : 2 pjb/3000/213/3/ld1 jabatan buruh kementerian hal ehwal dalam negeri negara brunei darussalam bab 112, perintah pekerjaan, 2009 pjb/ a.

Borang Permohonan Pekerja Asing / Perkeso Borang Pendaftaran Majkan Borang 1 Youtube : 2 pjb/3000/213/3/ld1 jabatan buruh kementerian hal ehwal dalam negeri negara brunei darussalam bab 112, perintah pekerjaan, 2009 pjb/ a.. 1 erus = 1 p o nisbah pekerja tempatan : Surat asal kelulusan bersyarat kementerian dalam negeri (kelulusan kuota) resit asal bayaran levi; Borang permohonan lesen jabatan buruh kementerian hal ehwal dalam negeri negara brunei darussalam borang permohonan lesen mengambil dan menggaji pekerja asing bagi perkhidmatan rumahtangga persendirian (amah) di bawah bab 111, perintah pekerjaan 2009 perhatian: Permohonan lanjutan pl(ks) pekerja asing boleh dibuat di pejabat imigresen negeri atau bahagian pekerja asing, ibu pejabat dalam tempoh tiga bulan sebelum pl(ks) tamat. Majikan perlu mengemukakan borang permohonan dan salinan dokumen lengkap berdasarkan senarai semak permohonan penggantian dan membawa dokumen asal untuk semakan di kaunter dan kegunaan semasa proses temuduga.

Permohonan lesen bagi pengambilan pekerja asing di bawah bab 112 (1), perintah pekerjaan 2009 7. Borang permohonan vdr pekerja asing baru viii. 3) pekerja asing hendaklah berada di luar negara sementara permohonan diproses. 18 tahun hingga 45 tahun. Surat makluman prosedur permohonan pengambilan pekerja asing :

Borang Permohonan E Kad Sementara Pekerja Asing Jabatan Peruntukan Akta Imigresen 1959 63 Jika Pdf Document
Borang Permohonan E Kad Sementara Pekerja Asing Jabatan Peruntukan Akta Imigresen 1959 63 Jika Pdf Document from cdn.vdocuments.mx
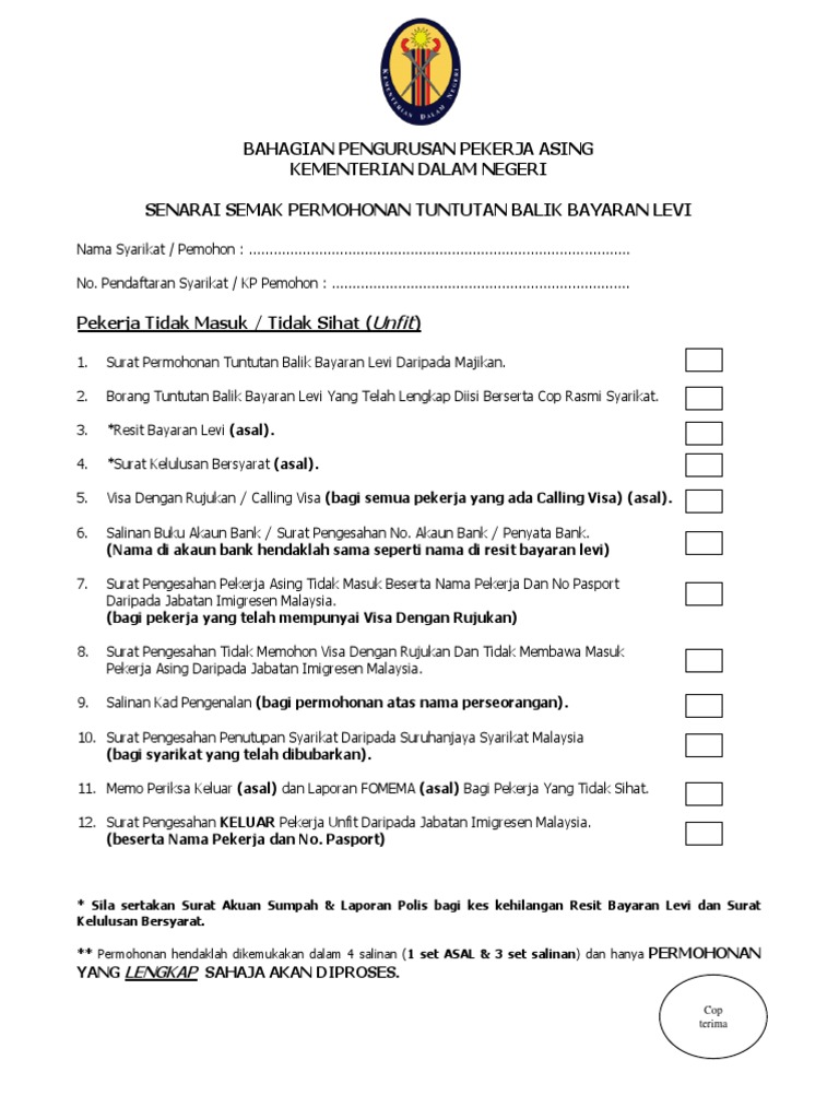
Kod majikan * employer's code no. Majikan perlu mengemukakan borang permohonan dan salinan dokumen lengkap berdasarkan senarai semak permohonan penggantian dan membawa dokumen asal untuk semakan di kaunter dan kegunaan semasa proses temuduga. 2 • permohonan bagi mendapatkan pekerja asing baharu masih lagi dibekukan oleh kerajaan sehingga 31 disember 2020. Surat asal kelulusan bersyarat kementerian dalam negeri (kelulusan kuota) resit asal bayaran levi; Pengarah standard perburuhan) telefon : Permohonan pembantu rumah asing perempuan yang bukan dari negara sumber. Permohonan kelulusan kdn bagi pengambilan pelajar antarabangsa. Dikemukakan bersama semasa permohonan dikemukakan di one stop centre, bahagian pengurusan pekerja asing, kementerian dalam negeri) 3.

Resit pembayaran levi cidb mengikt projek pembinaan / borang cidb l2/96 (borang pemberitahuan pengenaan levi) / (borang pemberitahuan projek) 5.

Bermula 10 jun 2020, prosedur baharu pertukaran majikan adalah melalui jtksm berdasarkan proses kerja keseluruhan surat sokongan pertukaran majikan bagi penggajian pekerja asing jtksm. Borang permohonan lesen pekerja asing (baru) ld1. Borang perakuan permohonan visa dengan rujukan no. Maklumat syarikat bilangan rujukan majikan: Permohonan pembaharuan pasport (myonline*passport) permohonan pembantu rumah asing (maid online) permohonan lanjutan pas lawatan kerja sementara (plks) secara atas talian (eplks@jim ) malaysia rumah kedua ku (mm2h) sumber dan arkib. Senarai semak dokumen permohonan borang notis kemalangan dan penyakit khidmat pekerja asing; Semua maklumat tepat sebelum permohonan dibuat. Semua salinan dokumen (fotostat) hendaklah menggunakan kertas berukuran a4. Salinan lesen buruh yang masih sah / terbaharu 2. Borang permohonan vdr pekerja asing baru viii. Permohonan pembantu rumah asing perempuan yang bukan dari negara sumber. Nama syarikat / majikan berdaftar : 2 • permohonan bagi mendapatkan pekerja asing baharu masih lagi dibekukan oleh kerajaan sehingga 31 disember 2020.

Borang pengesahan pengagihan pekerja asing iii. Bagi permohonan penggajian pegawai dagang, boleh dikemukakan seperti biasa oleh majikan. Permohonan hendaklah dialamatkan kepada : Permohonan pengambilan pekerja asing (negara sumber: Borang permohonan lesen pekerja asing (baru) ld1.

Form Pa 13 Fill Online Printable Fillable Blank Pdffiller
Form Pa 13 Fill Online Printable Fillable Blank Pdffiller from www.pdffiller.com
Borang dan senarai semak permohonan surat pengakuan penggantian pekerja asing (pgpa) jabatan tenaga kerja semenanjung malaysia (jtksm) format borang dan penyata ringkasan mengikut sektor penyata ringkasan jualan tahunan (sektor perkilangan) Resit asal bayaran levi v. 2 • permohonan bagi mendapatkan pekerja asing baharu masih lagi dibekukan oleh kerajaan sehingga 31 disember 2020. Salinan lesen buruh yang masih sah / terbaharu 2. Permohonan pembaharuan pasport (myonline*passport) permohonan pembantu rumah asing (maid online) permohonan lanjutan pas lawatan kerja sementara (plks) secara atas talian (eplks@jim ) malaysia rumah kedua ku (mm2h) sumber dan arkib. Senarai semak dokumen permohonan borang notis kemalangan dan penyakit khidmat pekerja asing; Permohonan lanjutan pl(ks) pekerja asing boleh dibuat di pejabat imigresen negeri atau bahagian pekerja asing, ibu pejabat dalam tempoh tiga bulan sebelum pl(ks) tamat. Bermula 10 jun 2020, prosedur baharu pertukaran majikan adalah melalui jtksm berdasarkan proses kerja keseluruhan surat sokongan pertukaran majikan bagi penggajian pekerja asing jtksm.

1 erus = 1 p o nisbah pekerja tempatan :

Borang permohonan lesen jabatan buruh kementerian hal ehwal dalam negeri negara brunei darussalam borang permohonan lesen mengambil dan menggaji pekerja asing bagi perkhidmatan rumahtangga persendirian (amah) di bawah bab 111, perintah pekerjaan 2009 perhatian: Resit pembayaran levi cidb mengikt projek pembinaan / borang cidb l2/96 (borang pemberitahuan pengenaan levi) / (borang pemberitahuan projek) 5. Senarai semak dokumen permohonan borang notis kemalangan dan penyakit khidmat pekerja asing; 3) pekerja asing hendaklah berada di luar negara sementara permohonan diproses. Senarai semak dokumen permohonan borang tuntutan faedah orang tanggungan pekerja asing dan pengurusan mayat 5) pekerja mestilah sihat dan bebas. Surat makluman prosedur permohonan pengambilan pekerja asing : Nama syarikat / majikan berdaftar : Permohonan pengambilan pekerja asing (negara sumber: Borang permohonan vdr pekerja asing baru viii. Sijil kelahiran (bagi tanah milik ibu bapa) / sijil nikah (bagi tanah milik suami / isteri) 2. Serta disahkan sihat sebelum permohonan lanjutan tahun kedua dan ketiga dikemukakan ke jabatan imigresen malaysia. Permohonan lanjutan pas lawatan kerja sementara (plks) dan pembantu rumah asing (pra) ialah permohonan untuk memperbaharui lanjutan permit kerja pekerja asing atau pembantu rumah untuk tahun seterusnya untuk membenarkan pekerja asing yang memegang plks terus bekerja di dalam malaysia secara sah.

Permohonan hendaklah dialamatkan kepada : Pekerja tersebut hanya akan dibenarkan masuk selepas permohonan visa dengan rujukan (vdr) diluluskan. Permohonan pembantu rumah asing perempuan yang bukan dari negara sumber. Senarai semak dokumen permohonan borang tuntutan faedah orang tanggungan pekerja asing dan pengurusan mayat 2 • permohonan bagi mendapatkan pekerja asing baharu masih lagi dibekukan oleh kerajaan sehingga 31 disember 2020.

Permohonan Pendaftaran Pendatang Asing Tanpa Izin Pati Panduan Permohonan Untuk Pendaftaran Adalah Seperti Di Dalam Gambar Yang Dinyatakan Seperti Berikut Menyediakan Dokumen Lengkap Seperti 1 Salinan Gambar Berukuran Passport
Permohonan Pendaftaran Pendatang Asing Tanpa Izin Pati Panduan Permohonan Untuk Pendaftaran Adalah Seperti Di Dalam Gambar Yang Dinyatakan Seperti Berikut Menyediakan Dokumen Lengkap Seperti 1 Salinan Gambar Berukuran Passport from lookaside.fbsbx.com
2 pjb/3000/213/3/ld1 jabatan buruh kementerian hal ehwal dalam negeri negara brunei darussalam bab 112, perintah pekerjaan, 2009 pjb/ a. Majikan perlu mengemukakan borang permohonan dan salinan dokumen lengkap berdasarkan senarai semak permohonan penggantian dan membawa dokumen asal untuk semakan di kaunter dan kegunaan semasa proses temuduga. Resit pembayaran levi cidb mengikt projek pembinaan / borang cidb l2/96 (borang pemberitahuan pengenaan levi) / (borang pemberitahuan projek) 5. Senarai semak dokumen permohonan borang notis kemalangan dan penyakit khidmat pekerja asing; Borang perakuan permohonan visa dengan rujukan iii. Name borang pendaftaran pekerja asing / foreignworker's registration form b2. Semua maklumat tepat sebelum permohonan dibuat. Majikan perlu memastikan pekerja menjalani pemeriksaan kesihatan di klinik panel yang dilantik oleh fomema sdn.

Senarai semak dokumen permohonan borang notis kemalangan dan penyakit khidmat pekerja asing;

Salinan lesen buruh yang masih sah / terbaharu 2. Borang permohonan lesen pekerja asing (lpa)/foreign worker license (fwl) application form jabatan buruh kementerian hal ehwal dalam negeri *peringatan: Sehingga 2020 o fo rmul ap eng bilan kerjjuru u ut k i: Borang pengesahan pengagihan pekerja asing iii. Borang perakuan permohonan visa dengan rujukan iii. Permohonan kelulusan kdn bagi pengambilan pelajar antarabangsa. Filipina (l), indonesia (p), kemboja, kazakhstan, laos, myanmar, nepal, thailand, turksmenistan, uzbekistan, pakistan, vietnamdan sri lanka ) Serta disahkan sihat sebelum permohonan lanjutan tahun kedua dan ketiga dikemukakan ke jabatan imigresen malaysia. Surat makluman prosedur permohonan pengambilan pekerja asing : Pekerja tersebut hanya akan dibenarkan masuk selepas permohonan visa dengan rujukan (vdr) diluluskan. Senarai semak dokumen permohonan borang notis kemalangan dan penyakit khidmat pekerja asing; Resit pembayaran levi cidb mengikt projek pembinaan / borang cidb l2/96 (borang pemberitahuan pengenaan levi) / (borang pemberitahuan projek) 5. Semua maklumat tepat sebelum permohonan dibuat.

Related : Borang Permohonan Pekerja Asing / Perkeso Borang Pendaftaran Majkan Borang 1 Youtube : 2 pjb/3000/213/3/ld1 jabatan buruh kementerian hal ehwal dalam negeri negara brunei darussalam bab 112, perintah pekerjaan, 2009 pjb/ a..